공지사항
| 2026년 신규회원 당첨자 안내2025-12-11 | |||
|---|---|---|---|
| 작성자 | 관리자 | 조회수 | 5290 |
|
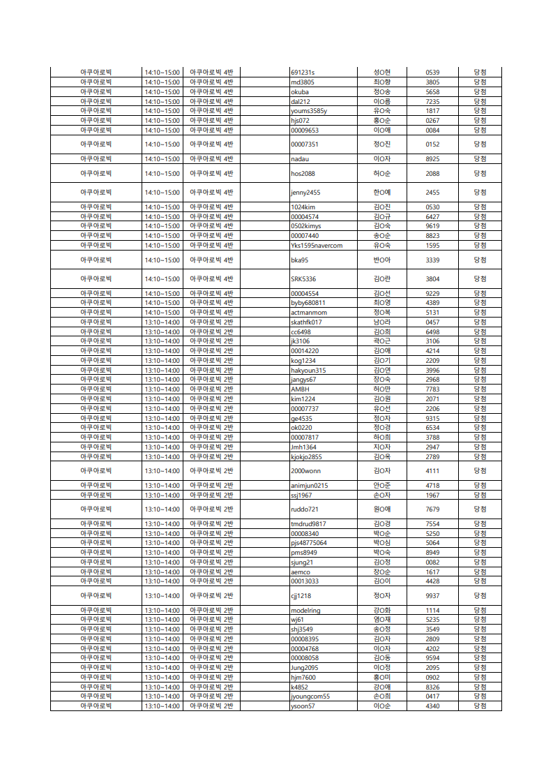
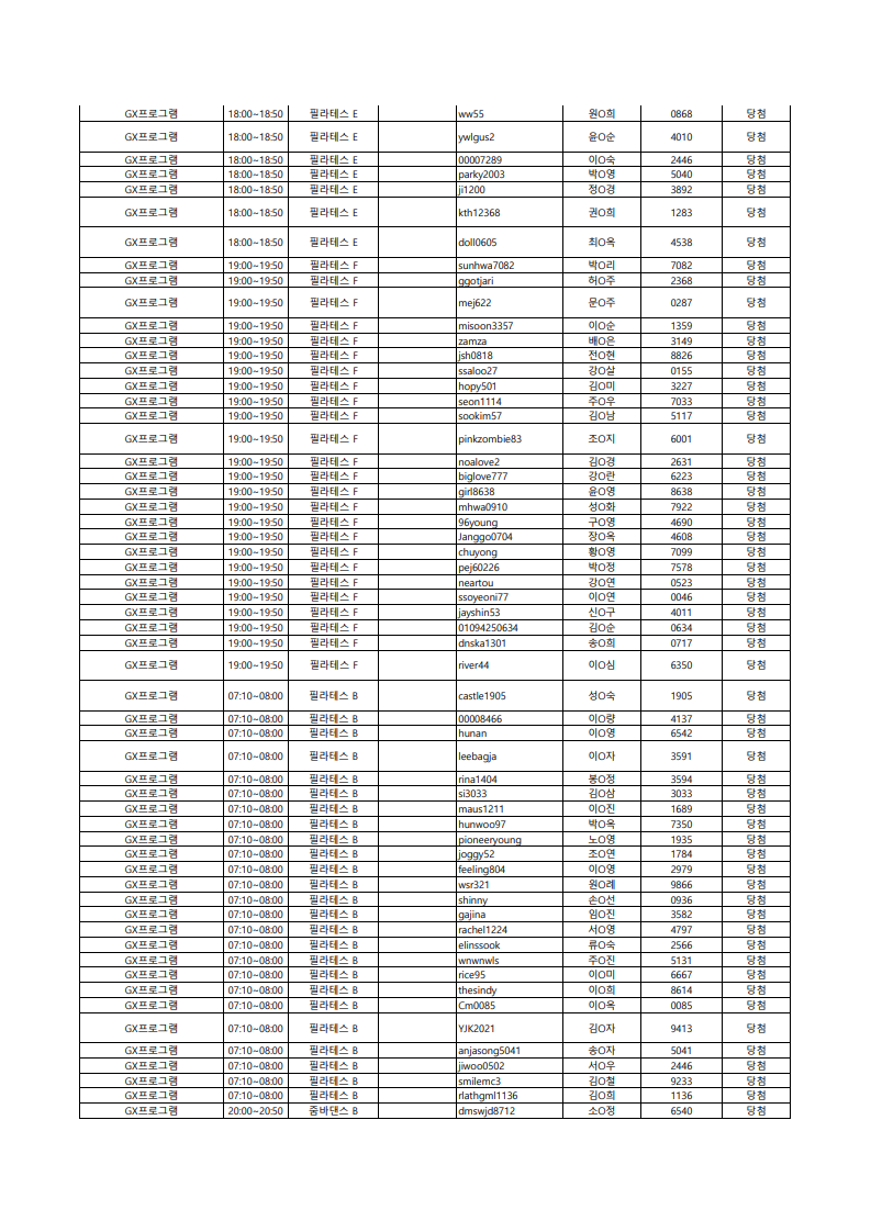
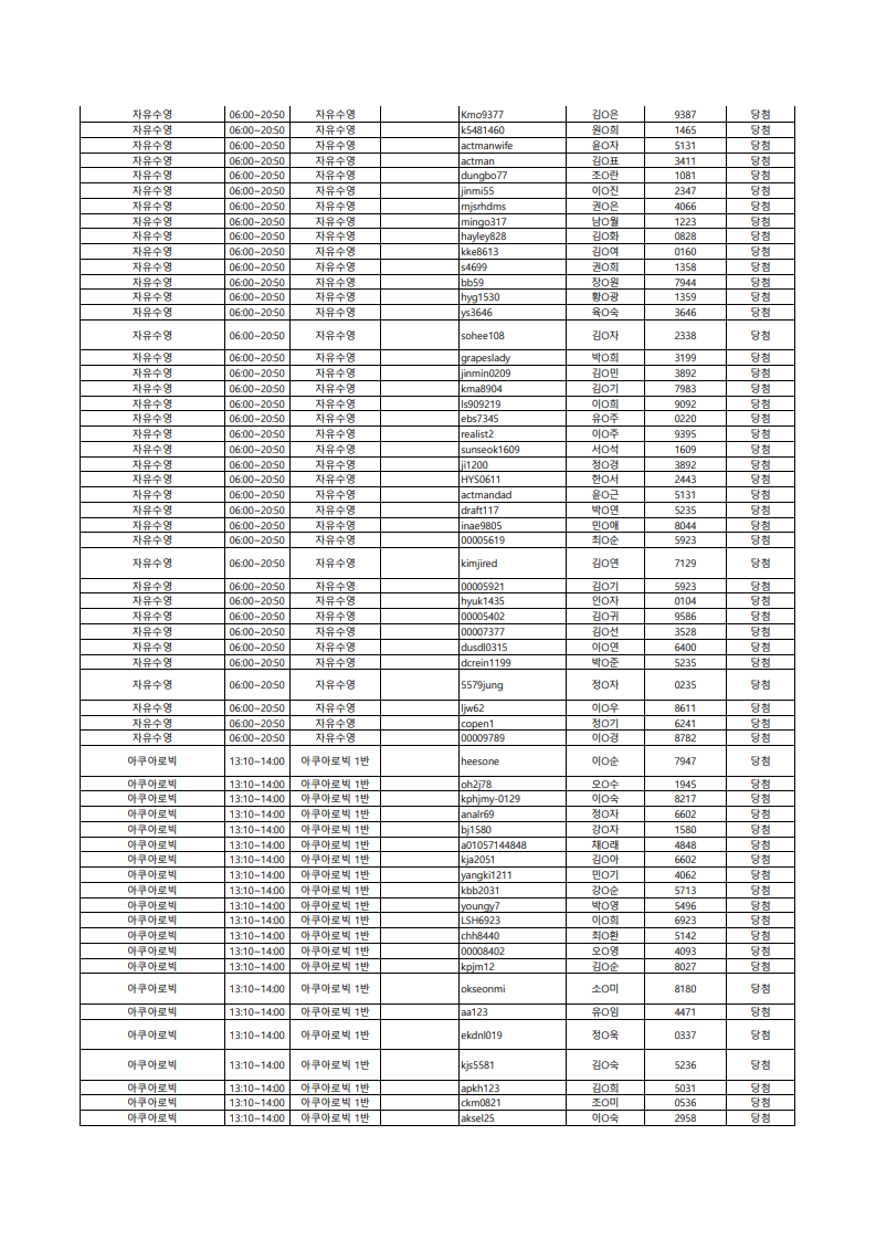
서안성체육센터 2026년 신규회원 당첨자 안내 당첨되신 분들은 1월부터 이용이 가능합니다. 당첨자 등록: 12. 15.(월) ~ 18.(목) 09:00~20:00 당첨자 등록방법: 서안성체육센터 현장 결제 정원미달반 공지: 12. 19.(금) 추가접수: 12. 22.(월) ~ 12. 24.(수) 09:00~20:00 추가접수 방법: 서안성체육센터 홈페이지를 통하여 선착순 접수 후 현장결제 당첨자 등록 시 본인 신분증 지참, 미성년자 결제 시 부모님 신분증 외 가족관계증명서 또는 주민등록등본 지참 ※ 신청반 기준년생에 해당하지 않는 경우 미당첨처리 됩니다. ![]() ![]() ![]() ![]() ![]() ![]() ![]() ![]() ![]() ![]() ![]() ![]() ![]() ![]() ![]() ![]() ![]() ![]() ![]() ![]() ![]() ![]() ![]() ![]() ![]() ![]() ![]() ![]() ![]() ![]() ![]() ![]() ![]() ![]() ![]() ![]() ![]() ![]() ![]() ![]() ![]() |
|||
| 첨부파일 | |||
| 다음글 | ** 2026년 1월 회원 추가 모집 안내 ** |
|---|---|
| 이전글 | 서안성체육센터 홈페이지 서비스 일시 중단 안내(12.10 20.. |

.png)
.png)
.png)
.png)
.png)
.png)
.png)
.png)
.png)
.png)
.png)
.png)
.png)
.png)
.png)
.png)
.png)
.png)
.png)
.png)
.png)
.png)
.png)
.png)
.png)
.png)
.png)
.png)
.png)
.png)
.png)
.png)
.png)
.png)
.png)
.png)
.png)
.png)
.png)
.png)
.png)